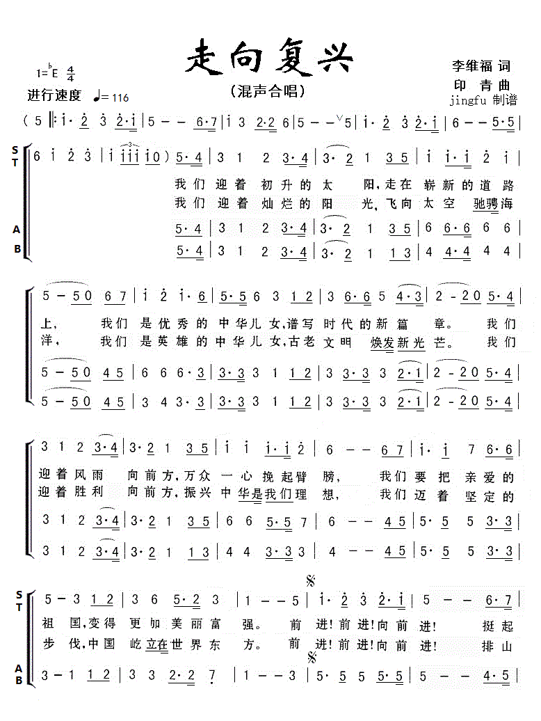
涩里番公告 涩里番公告 涩里番» 涩里番公告 » 学院通知 一二九合唱音乐及谱子 发布日期:2013-11-10 阅读次数: 请所有合唱人员下载练习。新增曲目《中国龙》请在周五晚上18:30之前听熟,至少能跟唱。 附件: 中国龙.mp3 中国龙-乐谱.jpg 走向复兴2.gif 走向复兴1.gif 总政合唱团-走向复兴.mp3 分享到: